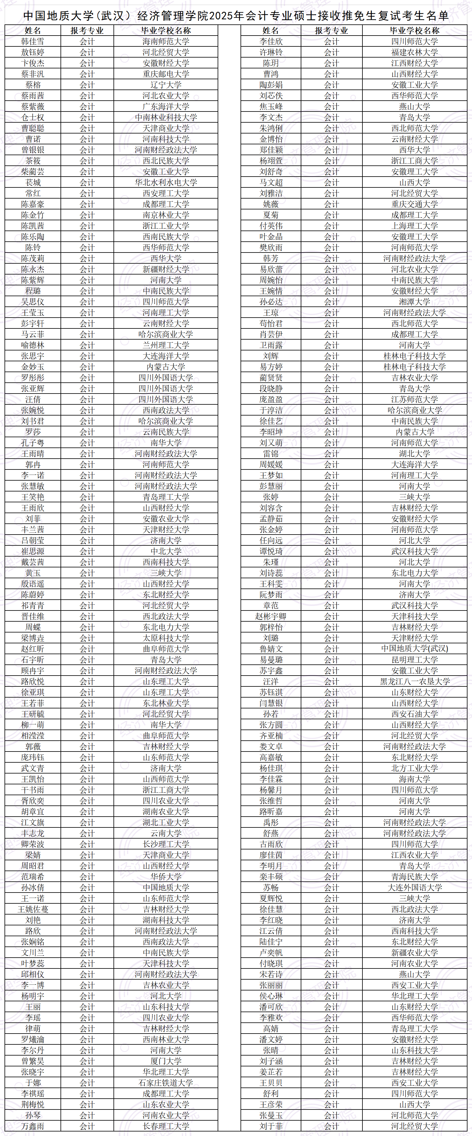
发布人:陈永佳 发布时间:2024-09-24 点击次数:
色漫网 (武汉)经济管理学院 /色漫网 版权所有:色漫网-色漫网在线看_无修色漫网福利动漫合集 电话:027-67883201 邮编:430078ICP备案号:鄂ICP备05003343号